东京热
加入收藏
中文
中文
English
网站东京热
东京热概况
东京热介绍
现任领导
机构设置
行政机关
学科平台
师资队伍
金融学系
会计学系
投资学系
金融科技系
退休教师
人才培养
本科生培养
硕士生培养
博士生培养
MPAcc项目
人才培养创新
科学研究
科研项目
科研成果
党建思政
党建工作
工会工作
规章制度
师德师风
交流合作
国际交流
交换项目
合作平台
校友之家
金融分会
校友动态
校友风采
教育基金
人才引进
人才引进
东京热公告
科研信息
教学信息
学工信息
就业信息
东京热公告
当前位置:
东京热
正文
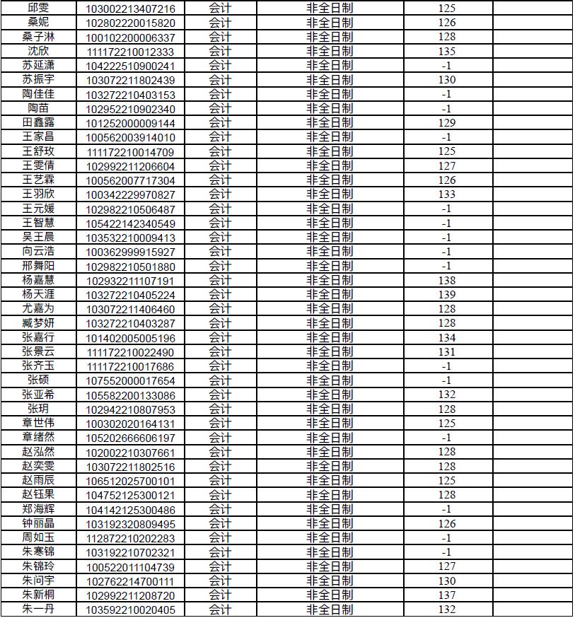
东京热 2022年MPAcc非全日制硕士研究生调剂复试成绩公示
作者:赵梅娟 审核人: 周月书 发布时间: 2022-04-10 点击:
各位考生:
现将东京热 2022年MPAcc非全日制硕士研究生调剂复试成绩公示如下,望考生知悉。
公示期:2022年4月10日-12日,联系电话:025-84395769。