东京热

东京热公告
东京热公告
当前位置: 东京热 正文

东京热 2022年研究生复试成绩公示

作者:冯薇 审核人: 周月书 发布时间: 2022-03-28 点击:

各位考生:

    现将东京热 2022年研究生复试成绩公示如下,望考生知悉。

金融学硕士复试成绩

金融硕士复试成绩

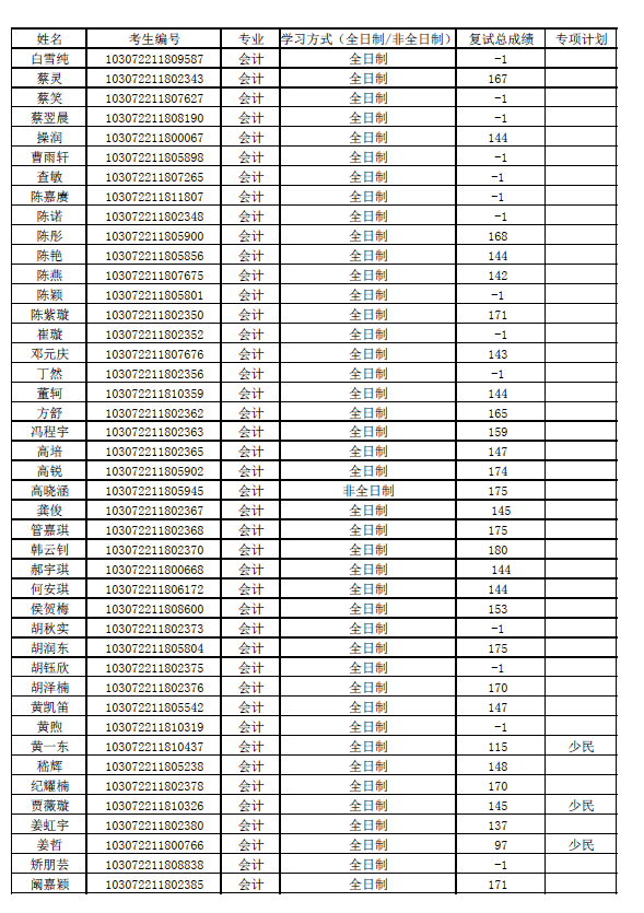
会计学硕士复试成绩

会计硕士复试成绩

公示期:2022年3月28日-30日,联系电话:025-84399826。